
近日,《Plant and Soil》(中国科学�2区)正式发表了宁夏大学土木与水利工程学院、宁夏节水灌溉与水资源调控工程技术研究中心刘学智团队的最新研究成果。论文题为:“Biochar and microplastics interactively modulate morpho-physiology and growth of maize under soil drying-rewetting cycles”,2022级硕士生刘巍仑为第一作者,刘学智副教授为通讯作者,宁夏大学苏振娟博士、徐利岗研究员、李王成教授,西北农林科技大学陆军胜副教授,中国科学院大学中丹教育与研究中心Kiril.Manevski研究员,刘福来教授为合作者�
【论文亮点�
1.生物炭和微塑料共存会对作物生长表现出补偿效应,且因生物炭制备温度而发生变化�
2.微塑料富集土壤中添加低温生物炭会提高玉米水分利用效率�
3.低温生物炭会诱导植物采取资源获取策略,而高温生物炭则诱导资源保存策略�
4.土壤干湿循环放大了生物炭和微塑料诱导的玉米形态生理变化�
【研究概述�
研究背景:生物炭是一种理想的土壤改良剂,可改善土壤、促进植物生长;而微塑料作为新兴污染物,会改变土壤理化性质,影响作物生长。但二者的相互效应及其对植物生长的潜在机制尚不明确�
研究目的:探究在土壤干湿循环条件下,生物炭与微塑料共存对玉米形态生理和生长的影响,以揭示生物炭对微塑料污染土壤的改良潜力�
研究方法:采用完全随机设计,设置3种生物炭处理(无生物炭,0BC�450℃玉米秸秆生物炭,LTBC�800℃玉米秸秆生物炭,HTBC)�3种微塑料处理(无微塑料,0MPs;聚乙烯PE-MPs,PE-MPs;聚丙烯微塑料,PP-MPs)和2种灌溉方式(充分灌溉,FI;干湿交替循环,DRC)。试验期间测定玉米叶生理、生长、根系形态及水分利用效率等指标�
【主要图文�


�1.生物炭(BC)和微塑料(MPs)的微观形态与官能团特征。包含扫描电子显微镜(SEM)图像(a,b,c,d)和傅里叶变换红外光谱(FTIR)图(e)�

�2. BC和MPs对土壤持水能力(WHC)的影响�

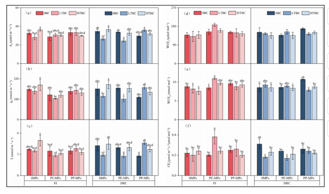
�3.(a)叶片净光合速率(An�;(b)气孔导度(gs);(c)蒸腾速率(E);(d)内在水分利用效率(WUEi�;(e)瞬时水分利用效率(WUEn�;(f)瞬时羧化效率(CEi=An/Ci)�

�4.(a)气孔密度(SD�;(b)叶片相对含水率(RWC)和(c)叶绿素含量指数(SPAD)受BC、MPs、灌溉处理(FI和DRC)及其交互作用的影响�

�5.玉米不同形状的主成分分析图:(a)充分灌溉(FI)和干湿循环(DRC)条件下;(b)充分灌溉(FI)条件下;(c)干湿循环(DRC)条件下,分别进行不添加�0BC�0MPs)和添加生物炭(LTBC和HTBC)以及微塑料(PE-MPs和PP-MPs)的处理�

�6. BC、MPs和灌溉处理(FI和DRC)下玉米植株各性状的Pearson相关系数热图�

�7. BC与MPs共存对FI或DRC处理下的玉米形态生理和WUE的影响�
【研究结论�
1.生物炭(BC)与微塑料(MPs)的交互作用�
生物炭与微塑料对玉米生长的整体影响呈现补偿效应,具体效果取决于生物炭类型,并会因亏缺灌溉(土壤干湿循环,DRC)而增强�
低温生物炭(LTBC�450℃热解)在微塑料污染土壤中能通过交互作用提高玉米的水分利用效率(WUE);而高温生物炭(HTBC�800℃热解)则产生不利影响,尤其在添加聚丙烯微塑料(PP-MPs)的土壤中�
2.植物生长策略差异�
LTBC诱导玉米采用资源获取策略,表现为增加比根长(SRL)、优化根系探索能力;HTBC则促使玉米采取资源保守策略,表现为增加根组织密度(RTD)以减少资源投入�
3.土壤干湿循环(DRC)的影响�
DRC放大了生物炭和微塑料对玉米形态生理特征的改变。例如,在DRC条件下,聚乙烯微塑料(PE-MPs)增加了总干物质(TDM)、叶片及整株的WUE�
4.具体生理与生长响应:
LTBC虽降低了叶片净光合速率(An),但通过提高土壤持水量(WHC)和叶片水分状况改善了玉米生长;PE-MPs会削弱这些改善效果,但能提高比叶面积(SLA)和瞬时WUE�
HTBC与PP-MPs的组合对根系组织密度和叶系形态产生负面或中性影响,尤其在DRC条件下更为明显�
5.综合结论�
BC和MPs通过调节土壤性质、植物生理形态协同影响植物生长。LTBC对含PE-MPs的土壤中的玉米生长有显著促进,而HTBC则相反�
未来研究应关注BC和MPs在土壤中的保留时间、迁移规律,以及植物在表�-水分利用框架中的作用,以提升农业节水效率和生态可持续性�
【论文引用�
WeilunLiu,ZhenjuanSu,LigangXu,WangchengLi,JunshengLu,XuezhiLiu,KirilManevski,FulaiLiu(2025) Biochar and microplastics interactively modulate morphophysiology and growth of maize under soil dryingrewetting cycles. Plant and Soil.
//doi.org/10.1007/s11104-025-07709-8.